1 Parabola
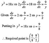
A point on the parabola y2 = 18x at which the ordinate increases at twice the rate of the abscissa is
1) (9/8, 9/2) 2) (2 , -4) 3) (-9/8, 9/2) 4) (2, 4)
SOLUTION
Your Score: