1 Alternating Currents
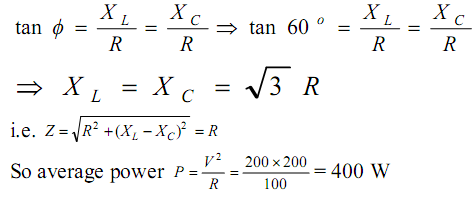
An LCR series circuit with a resistance of 100 ohm is connected to an ac source of 200 V (r.m.s.) and angular frequency 300 rad/s. When only the capacitor is removed, the current lags behind the voltage by 60º. When only the inductor is removed the current leads the voltage by 60º. The average power dissipated is
1) 50 W 2) 100W 3) 200W 4) 400W
SOLUTION
Your Score: